UNE TECHNOLOGIE UNIQUE, DEMONTREE PAR DES MILLIERS D'ETUDES SCIENTIFIQUES
- Plus de 125 000 études scientifiques*
- 50 années de recul et d’expérience cumulée
- Pour la première fois miniaturisé et optimisé
EFFICACITE EPROUVEE PAR UN LABORATOIRE INDEPENDANT.
ELIMINE 99,9 % DES POLLUANTS DE L’AIR*
*Testé sur souches bactériennes et fongiques (moisissures) à l’automne 2020, dans un volume de 1m3, avec une surface de prélèvement de 1 140 cm2.


ELIMINE
LES PARTICULES, MEME INFERIEURES A 0,01 NANOMETRE
- Contrairement aux filtres HEPA (technologie utilisée par les purificateurs conventionnels) qui ne peuvent pas filtrer les particules les plus petites, l’efficacité de notre technologie Aero-Pure n’a aucune limite.
- De plus, Flolys Nano ne se contente pas d’accumuler les polluants au même endroit (filtre), mais les élimine réellement.
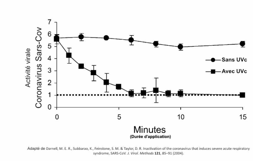
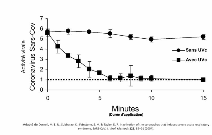
LA DÉSINFECTION PAR UVC
Constitue une excellente solution de désinfection et décontamination, et présente
l'avantage d'être une stratégie de décontamination sans consommables.
Dans une étude sur le pouvoir décontaminant des UVC sur plusieurs centaines de
souches pathogènes connues. Malayeri et al. montré que toutes les bactéries
et tous les virus exposes ay UVC sont détruits par ces derniers, y compris les
coronavirus SARS-COVR et MERS COV Les longueurs d'onde les plus efficaces
contre les coronavirus se trouvent entre 254 et 270 nm.


LA PHOTOCATALYSE
Étudiée depuis plusieurs décennies, elle est considérée comme l'une des méthodes les plus prometteuses pour la purification de l'air dans les bureaux, les usines, les domiciles particuliers ou collectifs, les voitures et les moyens de transport collectifs. Cette technologie est capable de détruire la plupart des contaminants organiques et polluants chimiques, tels que l'éthanol, l'acétaldéhyde, l'acide acétique, le formaldéhyde et l'acide formique
On assiste à un effet de purification très pertinent pour les domaines de la microbiologie, L'hygiène médicale, la lutte antibactérienne, antivirale et fongicide. Hajkova et al. ont notamment démontré la capacité de la photocatalyse à éliminer totalement des colonies d'Escherichia Coli
L'IONISATION
Modifie la charge électrostatique des particules fines de l'air, ce qui les force à tomber au sol et les y «emprisonne». Ces particules sont des lors incapables d'agresser vos voies respiratoires.
Tanaka et al. ont rapporté que l'ionisation réduisait de 46% le nombre de poussières respirables et inhalables10 La concentration de particules a été réduite de deux ordres de grandeur après deux heures de traitement par ionisation dans un bureau de 50 m{3(11. De nombreux autres rapports similaires complètent ces résultats, quant à l'efficacité de l'ionisation dans lélimination des particules fines12-21,et notamment des microparticules présentes dans la fumée de cigarette16


Bibliographie
1. Malayeri, A., Mohseni, M., Cairns, B. & Bolton, J. Fluence (UV Dose) Required to Achieve Incremental Log Inactivation of Bacteria, Protozoa, Viruses and Algae. IUVA News 18, 4–6 (2016).
2. Tsunetsugu-Yokota, Y. Large-scale preparation of UV-inactivated SARS coronavirus virions for vaccine antigen. Methods Mol. Biol. 454, 119–126 (2008).
2. Tsunetsugu-Yokota, Y. Large-scale preparation of UV-inactivated SARS coronavirus virions for vaccine antigen. Methods Mol. Biol. 454, 119–126 (2008).
3. Bedell, K., Buchaklian, A. H. & Perlman, S. Efficacy of an Automated Multiple Emitter Whole-Room Ultraviolet-C Disinfection System Against Coronaviruses MHV and MERS-CoV. Infect Control Hosp Epidemiol 37, 598–599 (2016).
4. Darnell, M. E. R., Subbarao, K., Feinstone, S. M. & Taylor, D. R. Inactivation of the coronavirus that induces severe acute respiratory syndrome, SARS-CoV. J. Virol. Methods 121, 85–91 (2004).
5. Kariwa, H., Fujii, N. & Takashima, I. Inactivation of SARS coronavirus by means of povidone-iodine, physical conditions and chemical reagents. Dermatology (Basel) 212 Suppl 1, 119–123 (2006).
6. Nimlos, M. R., Wolfrum, E. J., Brewer, M. L., Fennell, J. A. & Bintner, G. Gas-Phase Heterogeneous Photocatalytic Oxidation of Ethanol: Pathways and Kinetic Modeling. Environ. Sci. Technol. 30, 3102–3110 (1996).
7. Ibáñez, J., Litter, M. & Pizarro, R. Photocatalytic Bactericidal Effect of TiO2 on Enterobacter Cloacae Comparative Study with Other Gram (−)Bacteria. Journal of Photochemistry and Photobiology A: Chemistry 157, 81–85 (2003).
8. Dunlop, P. S. M., Byrne, J. A., Manga, N. & Eggins, B. R. The photocatalytic removal of bacterial pollutants from drinking water. Journal of Photochemistry and Photobiology A: Chemistry 148, 355–363 (2002).
9. Photocatalytic Effect of TiO2 Films on Viruses and Bacteria - Hajkova - 2007 - Plasma Processes and Polymers - Wiley Online Library. https://onlinelibrary.wiley.com/doi/abs/10.1002/ppap.200731007.
10. NASD - Dust Settling Efficiency and Electrostatic Effect of a Negative Ionization System. http://nasdonline.org.
11. Grabarczyk, Z. Effectiveness of indoor air cleaning with corona ionizers. Journal of Electrostatics 51–52, 278–283 (2001).
12. Uk Lee, B., Yermakov, M. & Grinshpun, S. A. Removal of fine and ultrafine particles from indoor air environments by the unipolar ion emission. Atmospheric Environment 38, 4815–4823 (2004).
13. Grinshpun, S. A. et al. Evaluation of ionic air purifiers for reducing aerosol exposure in confined indoor spaces. Indoor Air 15, 235–245 (2005).
14. Niu, J. L., Tung, T. C. W. & Burnett, J. Quantification of dust removal and ozone emission of ionizer air-cleaners by chamber testing. Journal of Electrostatics 51–52, 20–24 (2001).
15. Daniels, S. L. ‘On the ionization of air for removal of noxious effluvia’ (Air ionization of indoor environments for control of volatile and particulate contaminants with nonthermal plasmas generated by dielectric-barrier discharge). IEEE Transactions on Plasma Science 30, 1471–1481 (2002).
16. Sawant, V., Meena, G. & Jadhav, D. Effect of Negative Air Ions on Fog and Smoke. Aerosol and Air Quality Research 12, (2012).
17. Sawant, V. Control of Respirable Particles in Indoor Air with Portable Negative Air Ion Generator. IOSR Journal of Environmental Science, Toxicology and Food Technology 3, 28–31 (2013).
18. Kim, J.-H., Yoo, H.-J., Hwang, Y.-S. & Kim, hyeok gyu. Removal of Particulate Matter in a Tubular Wet Electrostatic Precipitator Using a Water Collection Electrode. TheScientificWorldJournal 2012, 532354 (2012).
19. Ionization Impact on the Air Cleaning Efficiency in the Interior in: Measurement Science Review Volume 15 Issue 4 (2015). https://content.sciendo.com/view/journals/msr/15/4/article-p156.xml?language=en.
20. Pushpawela, B., Jayaratne, R., Nguy, A. & Morawska, L. Efficiency of ionizers in removing airborne particles in indoor environments. Journal of Electrostatics 90, 79–84 (2017).
21. Zhao, X. et al. Low-Resistance Dual-Purpose Air Filter Releasing Negative Ions and Effectively Capturing PM2.5. ACS applied materials & interfaces 9, (2017).